全二維共軛側鏈氯取代聚合物太陽能電池給體材
瀏覽次數: 342 發布時間:2017-12-28 09:05:42 發布人:editor
與傳統的無機太陽能電池相比,聚合物太陽能電池具有低成本、質量輕、柔性和易于大面積加工等優點而受到廣泛關注。活性層作為聚合物太陽能電池最重要的組成部分,主要由聚合物給體材料和富勒烯衍生物共混構成。因此設計高性能的給、受體材料以得到高能量轉換效率的聚合物太陽能電池是科學研究工作者關注的焦點。隨著新型光伏材料的不斷開發以及光伏器件的優化,單節聚合物太陽能電池的能量轉化效率突破了13%。PTB系列聚合物作為該領域的明星材料自從報道以來一直受到業界的廣泛關注,特別是具有部分二維共軛側鏈取代結構的PTB7-Th更是成為聚合物太陽電池研究的經典給體材料。
為了進一步提高PTB系列聚合物的能量轉化效率,南方科技大學何鳳副教授研究團隊通過對聚合物全二維共軛側鏈的結構設計理念,在PTB7-Th部分二維共軛側鏈結構的基礎上,進一步通過引入噻吩取代基團實現了該類材料的全二維共軛側鏈取代,得到了新型的全二維共軛側鏈取代聚合物2D-PTB-Th(圖1)。研究表明,由于全二維共軛側鏈的引入,2D-PTB-Th具有更強的光吸收能力,特別是在300-500納米區域內,同時也增強了分子間的相互作用力。在經過1,8-二碘辛烷(DIO)溶劑添加劑優化處理后,基于2D-PTB-T:PC71BM的太陽能電池器件得到了9.13%的光電轉化效率,相對于PTB7-Th的太陽器件具有10%的提高,外量子效率EQE也有明顯地提高(圖2)。這項研究為高效有機太陽電池給體材料的進一步突破提供了新的設計合成策略,即可通過全共軛主側鏈的協同效應同時提高給體材料的光譜吸收以及調節聚合物分子間相互作用的雙重目的,實現聚合物材料能量轉換效率的進一步提升。

圖1. 全二維共軛結構設計思路以及聚合物2D-PTB-Th和2D-PTB-TTh的化學結構式

圖2.(a)聚合物以及受體材料PC71BM的能級圖(b)聚合物所對應的器件的EQE的變化
此外,該團隊在近幾年中一直專注于氯原子在聚合物太陽電池方面的應用,相對于傳統廣泛使用的氟原子,氯原子具有合成相對較為容易,聚合物能級可調范圍更大等優勢,特別是氯原子由于具有空的3d軌道賦予其和具有孤電對單元或者共軛體系具有更強的相互作用,能有效控制氯取代聚合物材料的聚集形貌以及分子取向,也可作為模型分子研究有機光電器件中的基本物理現象。
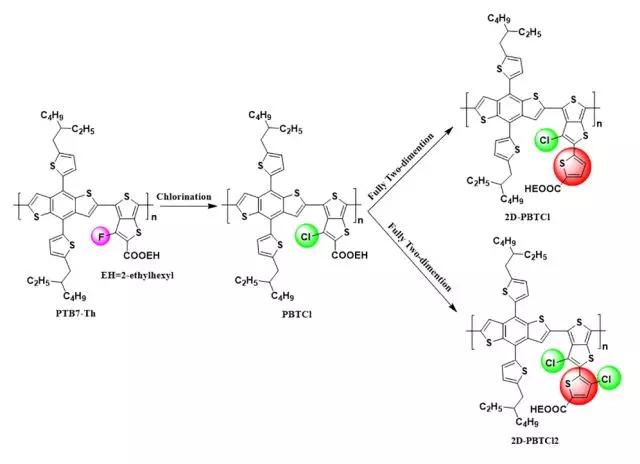
在最近的工作中,團隊也將氯原子引入到PTB聚合物的主鏈中,得到了聚合物PBTCl,得到較低的最低占有分子軌道(HOMO)的同時實現聚合物吸收光譜的藍移,所以當該材料與窄帶隙的受體材料ITIC共混時,吸收光譜得到較好的互補,其非富勒烯太陽電池器件顯示了較大的開路電壓Voc,能量轉換效率達到7.57%,與PTB7-Th:ITIC器件效率相比有13%的提高。
再上述工作中由于在聚合物骨架上引入氯原子,其大原子效應會在一定程度上減弱分子間的相互作用,不利于電荷在活性層中的傳導,因此該團隊進一步通過引入共軛的二維共軛噻吩側鏈的設計得到了全二維側鏈的氯取代聚合物2D-PBTCl和2D-PBTCl2 (圖3),噻吩側鏈可通過共軛作用在一定程度上克服氯原子引起的位阻效應,增強聚合物分子間的電荷傳輸能力,同時提高聚合物的光吸收能力,基于聚合物2D-PBTCl:ITIC的器件效率也提高到了8.81%。

圖3. 聚合物2D-PBTCl and 2D-PBTCl2結構設計
以上相關成果分別發表在Macromolecules (Macromolecules DOI: 10.1021/acs.macromol.7b02045), ACS Energy Letters (ACS Energy Lett., 2017, 2, 1971–1977) 和Journal of Materials Chemistry A (J. Mater. Chem. A, DOI: 10.1039/C7TA09837E)上。其中Macromolecules和Journal of Materials Chemistry A文章的第一作者為南方科技大學-北京大學聯合培養博士生晁鵬杰,ACS Energy Lett.文章的第一作者為南方科技大學-澳門大學聯合培養博士生王歡,通訊作者為南方科技大學化學系何鳳副教授,共同通訊作者為美國阿貢國家實驗室陳偉教授。
該研究得到了國家自然科學基金、中組部“青年千人計劃”、國家重點基礎研究發展計劃(973計劃)、南科大科研啟動經費、深圳市孔雀團隊以及深圳市科創委基礎研究項目等經費的支持。
論文鏈接:
http://pubs.acs.org/doi/10.1021/acs.macromol.7b02045
http://pubs.acs.org/doi/abs/10.1021/acsenergylett.7b00551
http://pubs.rsc.org/en/content/articlelanding/2018/ta/c7ta09837e
